ORDERING INFORMATION

Good laboratory practices include the proper use of any HPLC column and using the Cogent Diamond Hydride™ columns are no different. On this page you will learn how to get the best results from these Columns. Click HERE for General Instructions on using all Cogent TYPE-C™ Columns.
 

Start-Up Instructions:

 

SELECT THE MODE OF HPLC to use with Different Types of Compounds:

RP - Reversed-Phase The Diamond Hydride phase is primarily suited for polar compounds and thus has limited use in the Reversed-Phase (RP) mode. 

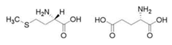
ANP - Aqueous Normal-Phase:  Use this column for compounds with two or more primary or secondary amines and two or more hydroxyl groups, as well as organic acids. Amino acids, polar metabolites and peptides are typical compounds for analyses with this column. Some examples of easily retained molecules are shown below:
 
       Meglutol_Graphic      Methionine and Glutamic Acid Graphic   Demoic_acid_structure_graphic
                       Meglutol                                  L-methionine                       L-glutamic acid                     Domoic Acid    

BEFORE YOU USE THE COLUMN:
  • Phosphoric acid should not be used as an additive for the Diamond Hydride™ column as it can permanently alter the separation capabilities and lifetime of the stationary phase.  
  • Completely purge the solvent lines of the previous mobile phases unless it is freshly prepared and identical to the one you will be using for the Diamond Hydride™.
  • Purge the injection port to remove any residual compounds from previous analyses.
  • Equilibrate the column for 15 minutes with the starting mobile phase conditions for your method.
START-UP INSTRUCTIONS: 
  • Review Specifications (tolerance for pH, mobile phase and pressure) for these columns; Click HERE
  • When using "dirty" matrices or aggressive mobile phases, inline filters or guard columns should be used. 
  • All solvents used must be of a minimum HPLC grade and should be degassed prior to use as well as degassed inline by your instrument if possible.
  • Buffers should be prepared fresh and removed from the system and column daily.
  • Before attaching the column to the instrument, purge the solvent lines of previous mobile phases unless it is identical to the one you will be using for this column and freshly prepared.
  • Purge the injection port to remove any residual compounds from previous analyses.
  • Install the new column according to the instrument instructions following "Good Laboratory Practices". Ensure the fittings and tubing are all properly connected.
  • Equilibrate the column for 30 minutes with a 50:50 mixture of organic solvent and water including any additives that will be used in your method.
  • For ANP: Start with your mobile phase at 50:50 organic/water. To increase the retention increase the organic content.


Method Development Tips for Diamond Hydride™:

Before starting any method development it’s important to follow the START-UP INSTRUCTIONS above and to have read:  How to Use TYPE-C™ Columns.


RP - REVERSED PHASE METHODS:
  • Since the Diamond Hydride™ has a slightly hydrophobic surface, using it for Reversed Phase mode is limited. For the analysis of typical non-polar compounds it is advisable to select one of the more suitable Cogent columns: Bidentate C18™, Bidentate C8™, Phenyl Hydride™ or UDC Cholesterol™.

ANP - AQUEOUS NORMAL PHASE METHODS: 
  • Neutral Compounds: Only polar neutrals are likely to be retained in ANP. 
  • Acids: To take advantage of the polar properties of acids, they must be ionized. Start with a buffer of 10 mM ammonium formate or ammonium acetate at pH 6.5.  (Lower or higher molarity buffers can be used as well.) For samples with few components, start at 50% water/10mM buffer and increase the acetonitrile/10 mM buffer content in the mobile phase as needed to get the desired separation and retention. For more complex samples use a test gradient starting at 90% acetonitrile/10 mM buffer decreasing to 20% over 10 minutes.  Adjust as needed to get the desired resolution and retention.
  • Bases:  To take advantage of the polar properties of bases, they must be ionized. Start with a buffer of 0.1% formic acid or 0.2% acetic acid. Both isocratic and gradient protocols described above can be used for bases depending on whether the sample has a few components or is complex. Methanol as the organic solvent in ANP does not generally provide sufficient retention for most polar compounds. An alternate choice for the organic component in the mobile phase is Acetone when using detection other than UV such as mass spectrometry, light scattering or electrochemical methods.
Click HERE for Troubleshooting Tips.

Following Column Use:

  • Before removing the column, fill it with 90:10 organic/water mobile phase preparing it for storage.
  • Click HERE for complete instructions on How to Store Cogent TYPE-C™ Columns
  • To prevent "pressure shock" and damage to the column; be certain all "pressure" in the system is zero before disconnecting it from the instrument.


 

© Copyright 2026. Cornerstone. All Rights Reserved. Website & Hosting by BlueTone Media